Acta Scientific Pharmaceutical Sciences (ASPS)

Review Article Volume 5 Issue 4

A Brief Review of Homogeneous Differential Equations

Dragan Obradovic1, Lakshmi Narayan Mishra2 and Vishnu Narayan Mishra3*

1Elementary School "Jovan Cvijic", Kostolac-Pozarevac, Teacher of Мathematics, Serbia
2Department of Mathematics, School of Advanced Sciences, Vellore Institute of Technology (VIT) University, Tamil Nadu, India
3Department of Mathematics, Indira Gandhi National Tribal University, Lalpur, Amarkantak, Madhya Pradesh, India

*Corresponding Author: Vishnu Narayan Mishra, Department of Mathematics, Indira Gandhi National Tribal University, Lalpur, Amarkantak, Madhya Pradesh, India.

Received: December 03, 2020; Published: March 22, 2021

×

Abstract

  Homogeneous linear differential equations are further subclasses whose solution space is a linear subspace, i.e. the sum of any solution set or their product is also a solution. The coefficients of an unknown function and its derivatives in a linear differential equation can be (known) functions of independent variables. If these coefficients are constants then a constant coefficient of linear differential equation is spoken.

Keywords: Differential Equations, Homogeneous Differential Equations, Differential Equation with Separated Variables, Differential Equation of the First Degree of Homogeneity

Review of the history of differential equations

  A differential equation is any equation in which an independent variable (x) occurs, an unknown function of that variable y (x), and derives or differentiates that unknown function. By definition, the order of the differential equation is called the highest order of derivations in that equation [1]. The general form of the differential equation of the nth order is:

F(x, y, y',y’’,..., y(n)) = 0.

  The differential equation 'is an equation expressing the relation between an independent variable, an unknown function, and its derivatives: F (x, y, y', y, ..., y (n)) = 0. The highest order of derivatives in this equation is called the order of the differential equation. For example y" + ky³ = 0 is a second-order differential equation. The simplest first-order differential equation, in explicit form, is y' = f (x).

  Any function that identically satisfies a differential equation is called a solution or integral of that equation. The general solution should identically satisfy the given differential equation, of the form y = φ (x, C1, C2, ..., Cn), where C1, ..., Cn are arbitrary integration constants. A particular solution is any function derived from a general solution for special values ​​of constants. A singular solution is one that satisfies the given equation identically, and is not in the general solution [2]. When an unknown function depends on two or more variables, we call the differential equation partial. Many differential equations are mathematical models of diverse processes in nature, society, natural and social sciences and engineering, and as such have many applications [3]. Differential equation theory and partial differential equation theory are significant and widely developed areas of mathematics. A special part of them is the differential equations of mathematical physics.

Determination of the general solution of differential equations

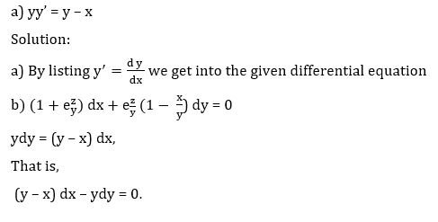
This is a differential equation of the first degree of homogeneity, so we solve it by substitution:

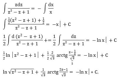
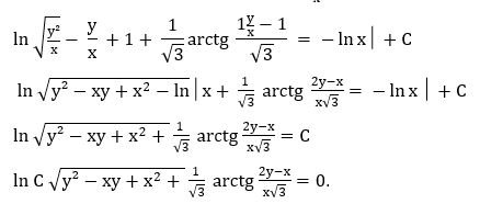
Differential equation of separated variables

The name differential equation that separates variables or differential equation in which variables are separated is also used.

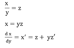
Differential equality of the first degree of homogenicity To be solved by substitution

Incorporating into the given differential equation we get:

This is a differential equation with helical variables, so it's worth it

Review of the history of differential equations

  Differential equations appeared at the time of the discovery of the differential and integral calculus, that is, at the time of Newton and Leibniz. Attempts to solve primarily physical problems have gradually led to mathematical models; equations in which variables and their differentials occur. However, from a theoretical point of view, the development of this branch of mathematics - Theory of Differential Equations, has its origin in a small number of mathematical problems. These problems and their solutions led to a special discipline in which solving these equations was the essence in itself.

  Historically, the development of differential equations has stimulated the needs of mechanics and parts of the natural sciences. That is why their importance from this point of view is great because the first differential equations studied were models of problems then current in those sciences [4]. All the first knowledge in this field was gained by studying such types of equations during almost two centuries since their origin. During the 18th century, the theory of differential equations made it possible to solve problems in terrestrial and celestial mechanics, tides, meteorology and other areas of physics. Due to the success of this theory, a philosophical thesis about its general application appeared. In its time, it played a major role in liberating science from theology and scholasticism.

  In the twentieth century, general theory developed further, but was influenced by the coming set theory in mathematical analysis. New applications have emerged in quantum mechanics, dynamical systems, and relativity. Almost simultaneously with the methods of qualitative analysis of differential equations, methods of their approximate solving appear. They played a significant role in the development of general theory of differential equations. Methods of successive approximations, indeterminate coefficients, analytical, Euler, polygonal lines, Adams, Milnov,.. are known.

  The field of differential equations has a wide variety of applications, especially in the natural and technical sciences. Computers allow their solutions to be as accurate as they can be displayed graphically.

Conclusion

  When considering and solving various problems in mechanics, physics, chemistry, geometry and other scientific disciplines and their applications, one encounters equations in which, in addition to unknown functions, their arguments and known objects, there are also derivatives of these functions. Such equations are called differential equations, and ordinary ones, if unknown functions depend on only one argument, and partial equations, if unknown functions depend on more than one argument. A homogeneous differential equation is of primary importance in the physical applications of mathematics because of its simple structure and useful solution.

×

References

  1. S Jankovic. “Differential Equations”. Faculty of Science in Nis, Nis (2002).
  2. S Jankovic and J Knezević – Miljanovic. “Differential Equations II (Problems with Elements of Theory), Faculty of Mathematics, Belgrade” (2005).
  3. Belajčic Dusan. “Differential Equations, Elements of Theory and Problems with Solutions”. Scientific book, Belgrade (1992).
  4. Sasser E John. History of Ordinary Differential Eqations, The first 100 Years, Modern Logic Publishing, Miami University, Oxford, Ohio (1997).
×

Citation

Citation: Vishnu Narayan Mishra., et al. “A Brief Review of Homogeneous Differential Equations". Acta Scientific Microbiology 5.4 (2021): 81-83




Metrics

Acceptance rate30%
Acceptance to publication20-30 days

Indexed In






News and Events


  • Publication Certificate
    Authors will be provided with the Publication Certificate after their successful publication
  • Last Date for submission
    Authors are requested to submit manuscripts on/before February 10, 2026, for the second issue of 2026.

Contact US